天津大学 复变函数答案(复变函数论第三版课后习题答案)
复变函数论第三版课后习题答案
• 2018-12-06 •数学类
书籍名称:复变函数论(第三版)
作 者:钟玉泉
出 版 社:高等教育出版社
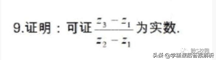
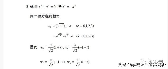
第一章 复数与复变函数
(1)
更多课后习题答案请
搜索公众号名称:
学糕课后答案解析
免责申明:本站所发布的文字与图片素材为非商业目的改编或整理,版权归原作者所有,如侵权或涉及违法,请联系我们删除,如需转载请保留原文地址。
• 2018-12-06 •数学类
书籍名称:复变函数论(第三版)
作 者:钟玉泉
出 版 社:高等教育出版社
第一章 复数与复变函数
(1)
更多课后习题答案请
搜索公众号名称:
学糕课后答案解析
复变函数与积分变换 第3版 课后习题答案• 2018-12-06 •数学类书籍名称:复变函数与积分变换 第3版作 者:苏变萍出 版 社:高等教育出版社第二章 导数习题2.5.1-2.5.10更多课后习题答案请搜索公众号名称:学糕课后答案解析
复变函数论第四版课后习题答案• 2018-12-06 •数学类书籍名称:复变函数论(第四版)作 者:钟玉泉出 版 社:高等教育出版社更多课后习题答案请搜索公众号名称:学糕课后答案解析
复变函数论第三版课后习题答案• 2018-12-06 •数学类书籍名称:复变函数论(第三版)作 者:钟玉泉出 版 社:高等教育出版社第一章 复数与复变函数(1)更多课后习题答案请搜索公众号名称:学糕课后答案解析