齐鲁工业大学研究生(齐鲁工业大学2021年硕士研究生)
齐鲁工业大学2021年硕士研究生招收一志愿复试中,是按1:1.2比例确定复试名单。明年准备报考该校的考生,可以对照进入一志愿复试的名单和本文分享的一志愿录取名单,简单估算下该校今年的报录比数据。
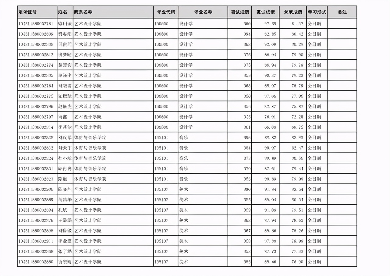
——艺术生可以重点关注下艺术设计学院的4个专业:设计学,音乐,美术,艺术设计。#齐鲁工业大学#
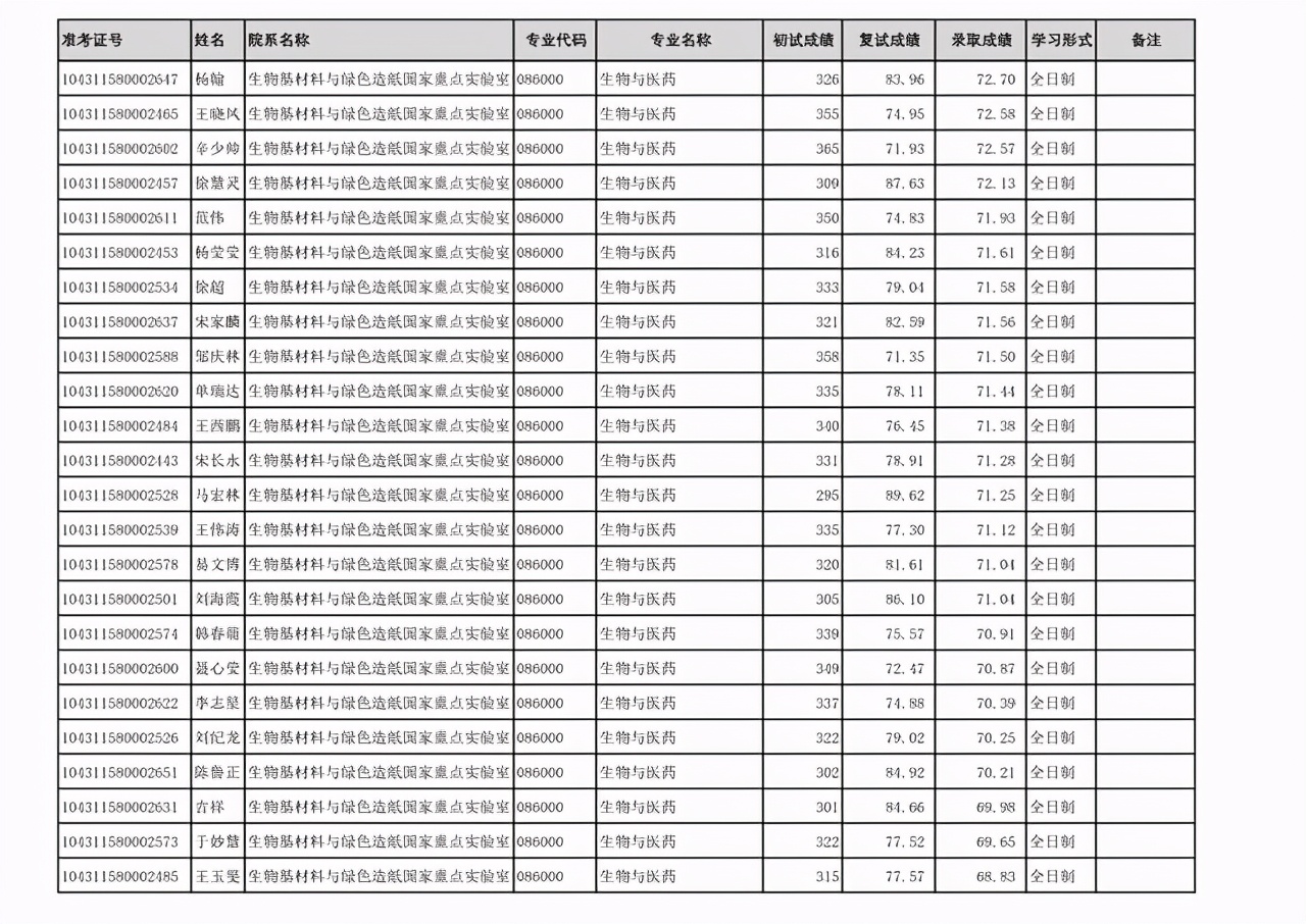
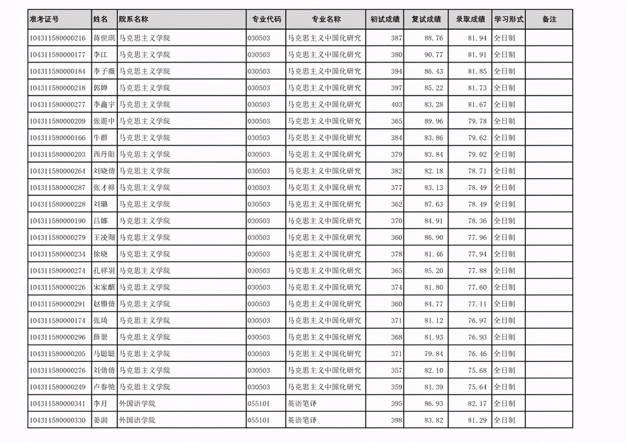
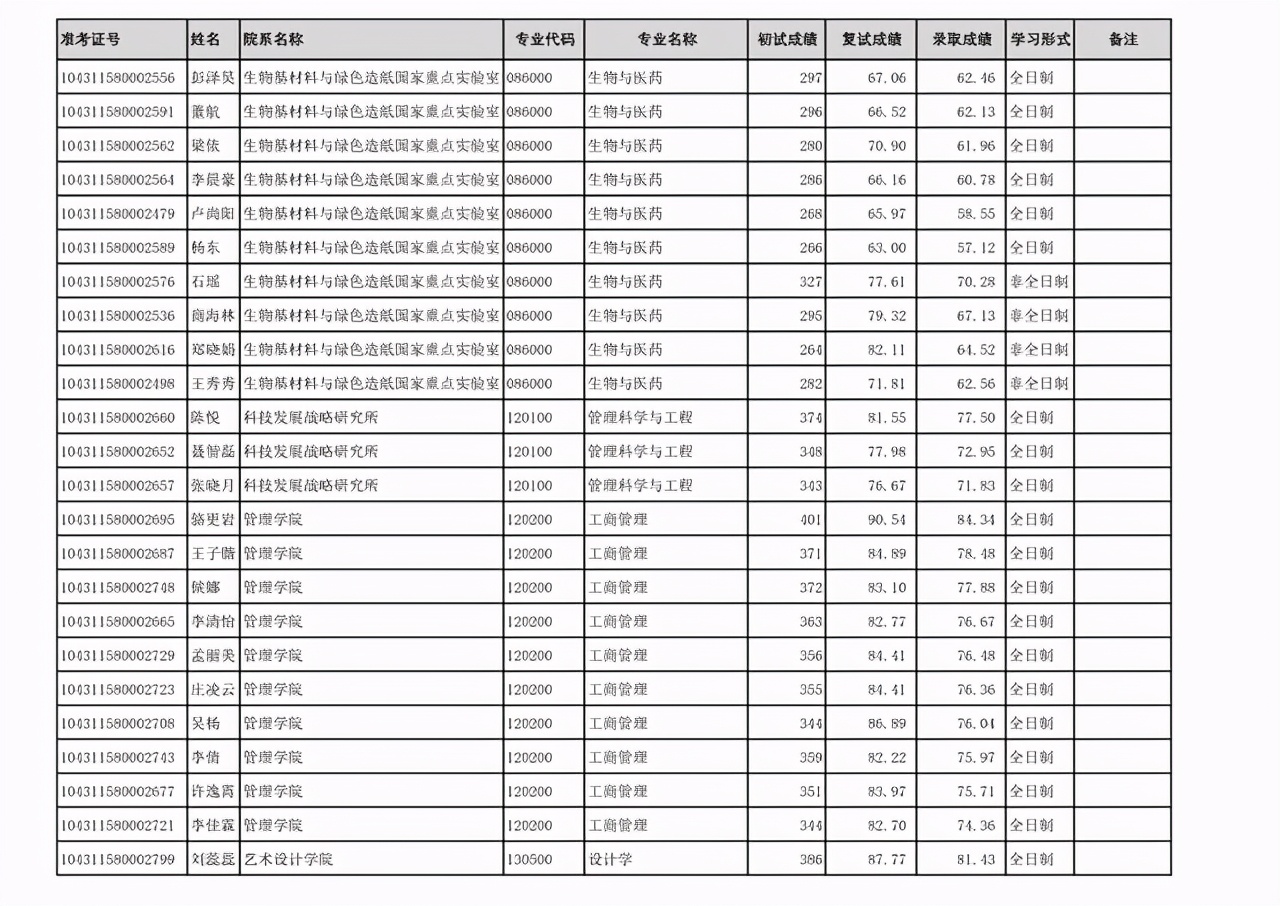
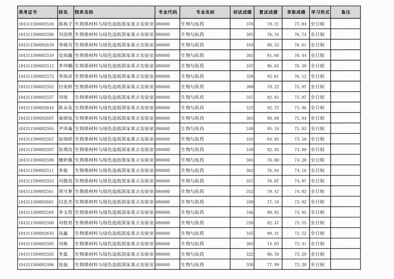
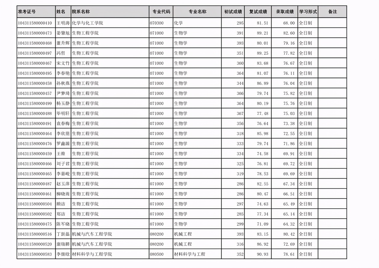
齐鲁工业大学2021年硕士研究生一志愿考生拟录取名单公示
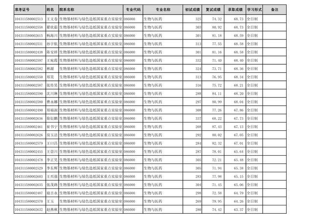
下表中包含了各专业(方向)今年的初试成绩,复试成绩,和录取成绩。
齐鲁工业大学2021年硕士研究生调剂考生拟录取名单公示
艺术与设计学院,体育与音乐学院今年共6人调剂录取。艺体生可以重点关注下。
-end-
注:文中数据均来自齐鲁工业大学研招办,麦麦仅作分享。如有侵权,请联系删除!
免责申明:本站所发布的文字与图片素材为非商业目的改编或整理,版权归原作者所有,如侵权或涉及违法,请联系我们删除,如需转载请保留原文地址。
下一篇:石家庄地质大学(最新)









