中山大学物理学院(2021广东物理投档线排序版)
胡侃教育简介:985大学毕业生,拥有8年志愿填报经验,2015-2020年已连续6年压中广东、湖南等多省市一二本大学录取分数线,误差普遍在0-3分之内,帮助560余名考生成功填报心仪大学与专业!
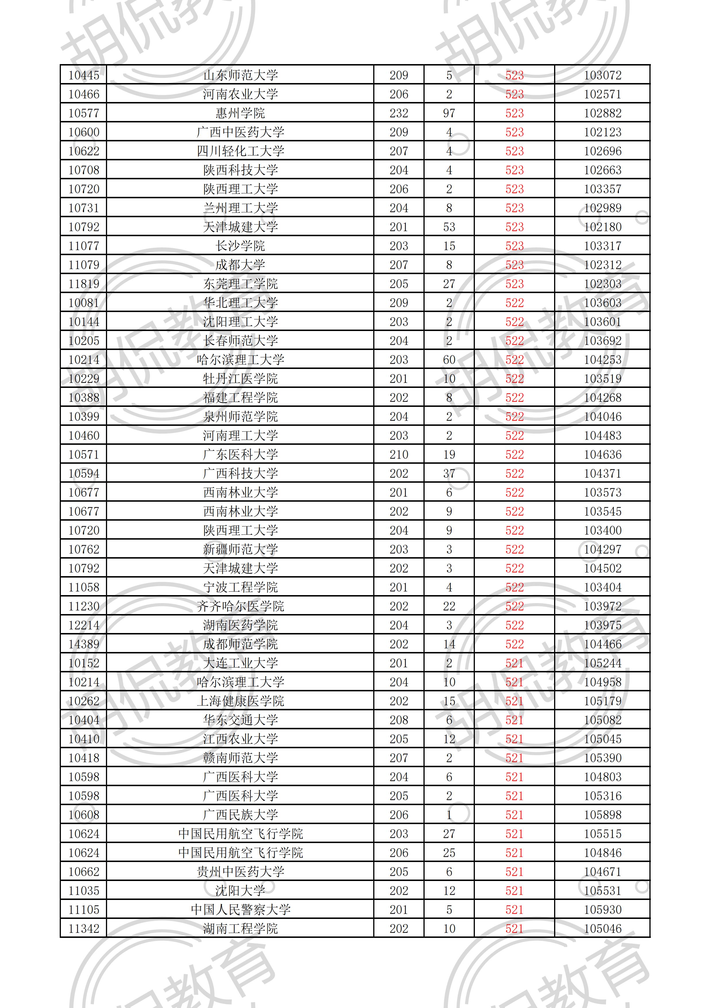
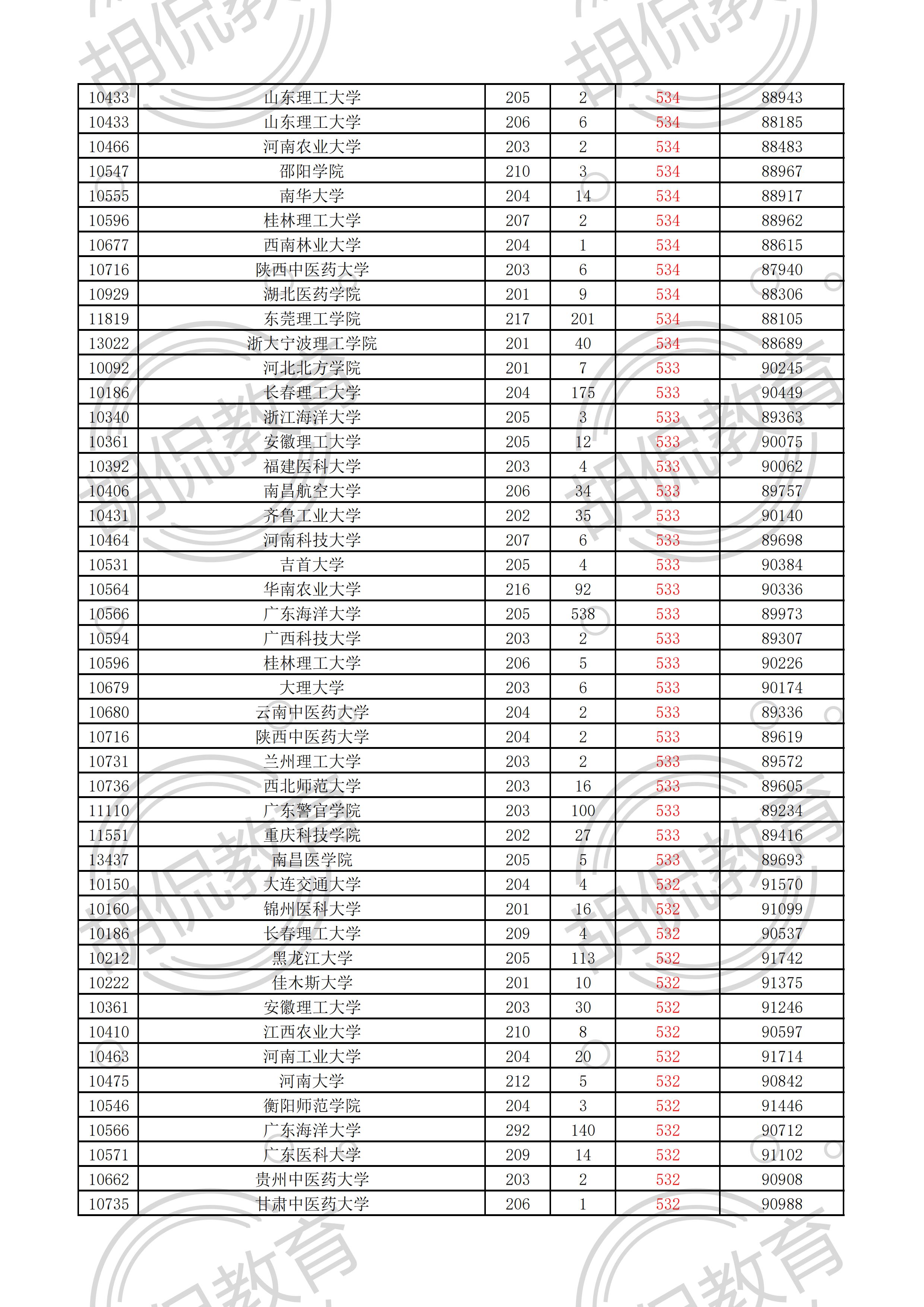
因为广东教育考试院公布的是PDF版本,无法编辑查找,考生家长查看数据非常麻烦。为了帮助大家更好地掌握相关高校的投档情况,胡侃教育整理了广东全部物理选科本科院校投档线排序版(文末附全部55张图片),得出了以下几点结论:
一、北京上海高校是当之无愧的王者
如果分专业组排序的话,排名前十的高校除了浙江大学占据一席之地外,全部来自北京上海!
其中上海交通大学投档线最低分685分,投档最低排位125名。复旦大学投档线最低分684分,投档最低排位153名。北京大学、清华大学投档线最低分683分以上(注:高考屏蔽考生不公布分数,实际最低分应该比复旦上交高),投档最低排位178以内。
此外,上海交大医学院投档线最低分681分,投档最低排位239名。复旦大学医学院投档线最低分680分,投档最低排位263名。北大医学部投档线最低分675分,投档最低排位447名。
二、中南大学在内的多所高校表现不俗
按专业组投档之后,拥有湘雅医学院的中南大学终于开始崭露头角,专业组205投档最低分663分,投档最低排名1234名!将同济大学、北京师范大学、上海财经大学、华中科技大学、武汉大学等顶尖名校甩在身后,让人刮目相看!
南开大学虽然没有A+学科,并且被许多网友吐槽实力下滑严重,但是到了最核心的录取分数线上,依然表现不俗,两个专业组投档最低分高达638分、646分,将天津大学以及C9高校哈尔滨工业大学(校本部)、西安交通大学甩在身后!
此外,哈尔滨工业大学(深圳)延续了其一贯的强势,投档线最低分650分,投档最低排位2960名。与此同时,中山大学三个专业组的最低投档线分别为632分、632分、629分!哈工深再次蝉联广东省投档线第一高校的桂冠!
三、浙大深大在内的多所名校爆大冷门
让人意想不到的是,分专业组投档之后,浙江大学最低投档线仅要643分!甚至连中南大学的部分专业组都不如,实在是让人大跌眼镜。
此外,“网红高校”华中科技大学205专业组投档最低分仅要620分,深圳大学272专业组投档最低分仅要518分,也是让所有人直呼想不到!只能说,真心佩服这几位胆大的捡漏同学,518分读深大,估计就连报考的考生家长自己也难以置信。
四、师范类高校持续火热
近几年全国各地师范类高校持续火爆,只要跟“师范”两个字沾边,哪怕只是“学院”,很多时候也意味着高昂的录取分数线,广东省也不例外!
“领头羊”北京师范大学、华东师范大学不说,所有专业组的投档线全部超过了640分,最高达到了660分!我们看一下几所211师范大学的数据,南京师范大学两个专业组投档线分别为597分、610分。华中师范大学四个专业组的投档线分别为610分、616分、616分、629分。湖南师范大学三个专业组的投档线分别为593分、596分、596分!
五、2021广东全部物理选科本科高校投档线排序版
对于2021广东物理选科投档线,你有什么想说的?你还发现哪所大学爆冷或者爆热?新高考制度下学生应该怎么填报志愿才不浪费分数?欢迎评论。
免责申明:本站所发布的文字与图片素材为非商业目的改编或整理,版权归原作者所有,如侵权或涉及违法,请联系我们删除,如需转载请保留原文地址。










