青年大学习图片(青年大学习)
上一期青年大学习
上海共有76.6万人参与线上学习
准备好了吗?
我们开始新一期青年大学习!
深化对新时代党的创新理论的理解和掌握理论的生命力在于创新。马克思主义是我们立党立国、兴党强国的根本指导思想,是我们党的灵魂和旗帜。党的十九届六中全会把“坚持理论创新”概括为党百年奋斗的十条历史经验之一。
坚定的理想信念,始终是中国共产党人安身立命的根本,而中国共产党人的理想信念建立在对马克思主义的深刻理解之上、建立在对历史规律的深刻把握之上。
在充满真理性的党的创新理论指引下,党由小小红船成为巍巍巨轮,国家历经开天辟地、改天换地、翻天覆地的历史巨变,中华民族迎来从站起来、富起来到强起来的伟大飞跃。
党的创新理论充分彰显党的领导和中国特色社会主义制度的优越性,实践没有止境,理论创新也没有止境。只要我们勇于结合新的实践不断推进理论创新、善于用新的理论指导新的实践,就一定能够让马克思主义在中国大地上展现出更强大、更有说服力的真理力量。
今天,就让我们跟随四川电影电视学院学生李臣浩一起,从新时代党的创新理论中汲取智慧,在瞬息万变的大环境中紧抓机遇、奋力前行。
赶紧长按识别以下二维码
进入学习时间吧
上一期
各系统学习情况怎么样?
一起来看看吧
(参学数据统计截至1月2日22时)
这期是2022年的第一次大学习哦
新的一年,我们一起
学习新思想,争做新青年
↓
这周积分商城
又有哪些好东西?
一起来看
↓
“青年大学习”文创又双叒上新啦
徽章控们喜爱的百年地标徽章
再度上线~
这一次是全套12枚哦
01 从石库门到天安门纪念徽章
冬天给你的笔记本
找一个温暖的家吧~
简约的电脑包
你值得拥有
02 青春上海毛毡包
只要每周认真学习
积分商城的文创产品
都有机会带回家哦~
本期的
上海共青团微信公众号影响力排行榜
也准时出炉啦!
赶紧来看↓
一周点评
☆ 本周,我们的热文榜迎来了一位原创10万+选手——来自“庭前独角兽”的《》。在你的眼中,法官是怎样的存在?法警开道全体鞠躬,身披法袍走路带风?不好意思,这只是你想象中的法官。法官的真实人生是怎样的一言难尽?这篇推文告诉你。
☆ 盼望着盼望着,上海轨道交通18号线终于在去年年底开通运营啦!复旦的同学们也终于拥有了自己学校命名的地铁站!12月30日早上6点,“复旦青年”记者乘坐地铁,第一时间播报乘坐体验。《》
一周榜单
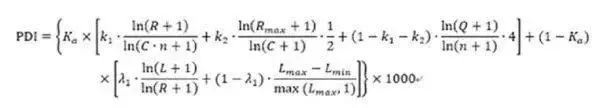
PDI指数是什么
青春上海携手上海交通大学大数据与传播创新实验室(T-Lab)打造全新的PDI(Pandata Index)全景数据评估指数,拒绝过度关注点赞数,更认真地统计峰值,认同潜力值,立志于更科学地为新媒体传播做测算:
文章发布时段:2021年12月26日~2021年1月1日
数据收录时间:2021年1月3日 10:00
漫画:姚晓霏、曹雨佳
点评:扎坦娜 数据汇总:Nala 制表:吴佳斐 整理:扎坦娜
责任编辑:朱雨佳
点亮“在看”









