武汉理工大学分数线(快讯)

麦兜兜
麦兜兜 2024-06-23 23:42:01

快讯:武汉理工大学2021研究生复试分数线刚刚公布…

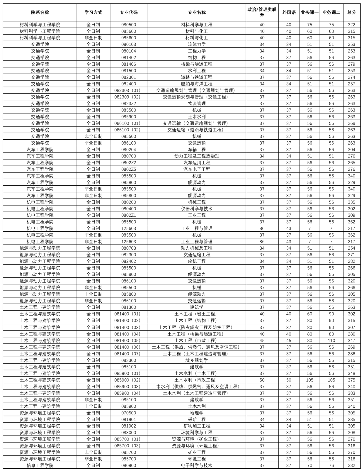
武汉理工大学2021年硕士研究生招生复试分数线

快讯:武汉理工大学2021研究生复试分数线刚刚公布…

快讯:武汉理工大学2021研究生复试分数线刚刚公布…

快讯:武汉理工大学2021研究生复试分数线刚刚公布…

快讯:武汉理工大学2021研究生复试分数线刚刚公布…

来源:武汉理工大学 武汉理工大学研究生院