新疆大学研究生好考吗(考研211有哪些比较好考的院校)
21考研报名人数377万,可以看到这几年考研竞争越来越大,要上岸更加的难,想上211、985名校更难。有同学问我“考研有没有比较容易考的211院校”,还真有。 211院校一共有116所,其中有17所相对难度比较低,相对比较容易上岸。有名校情结的同学可以参考一下~
211相对好考的17所院校名字:
①郑州大学、②东华大学、③西南大学、④南昌大学、⑤辽宁大学、⑥东北林业大学、⑦合肥工业大学、⑧海南大学、⑨河北工业大学、⑩太原理工大学、⑪长安大学、⑫陕西师范大学、⑬延边大学、⑭宁夏大学、⑮新疆大学、⑯云南大学、⑰北京工业大学
下面一一详细给你介绍一下他们的优势学科、拟录取情况、报录比数据、壁纸~
优势学科:了解报考院校有哪些比较好的专业
报录比数据:直观了解报考难度,一般10一下的报录比数据是比较好考,10-20难考,20+的是非常非常的难考
壁纸:可以用来激励自己~~~
一、郑州大学
①郑州大学优势学科
世界一流学科建设学科(3个):临床医学、材料科学与工程、化学
国家重点学科(2个,二级学科):凝聚态物理、材料加工工程
国家重点(培育)学科(4个,二级学科):中国古代史、有机化学、化学工艺、病理学与病理生理学
省重点一级学科:应用经济学、法学、马克思主义理论、体育学、中国语言文学、外国语言文学、新闻传播学、考古学、中国史、世界史、数学、物理学、化学、生物学、生态学、统计学、力学、机械工程、光学工程、材料科学与工程、动力工程及工程热物理、电气工程、电子科学与技术、信息与通信工程、控制科学与工程、计算机科学与技术、建筑学、土木工程、水利工程、化学工程与技术、交通运输工程、核科学与技术、环境科学与工程、城乡规划学、软件工程、安全科学与工程、基础医学、临床医学、口腔医学、公共卫生与预防医学、药学、护理学、管理科学与工程、公共管理、图书情报与档案管理、音乐与舞蹈学
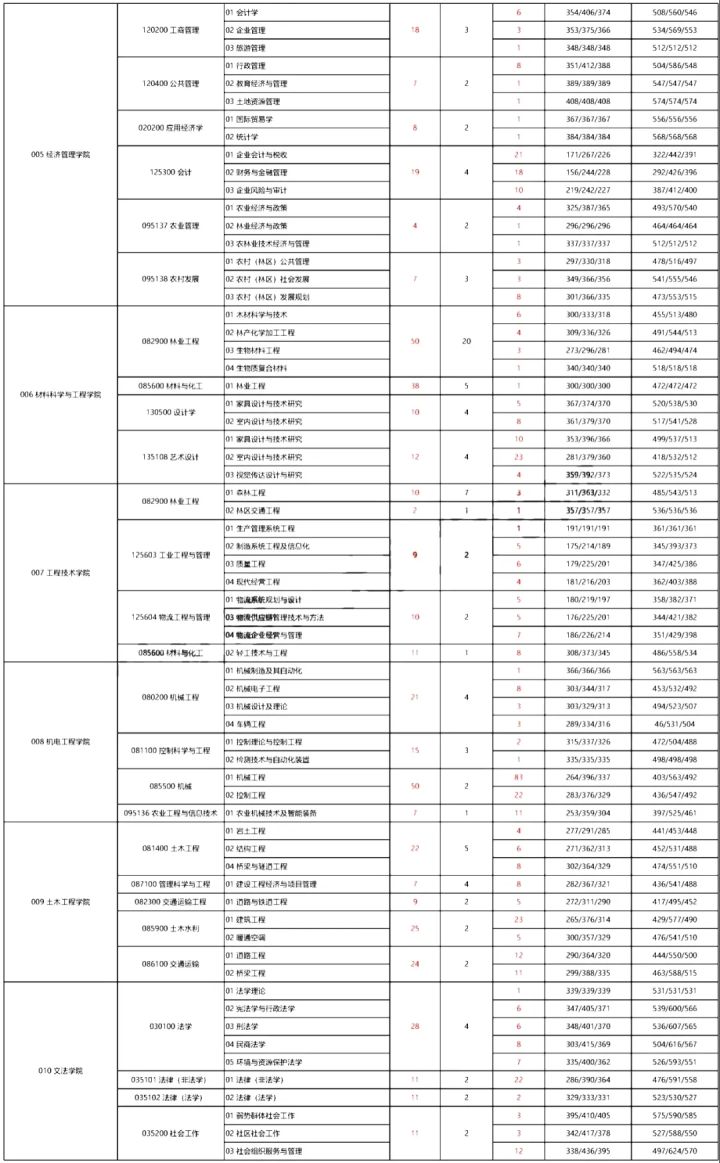
②郑州大学拟录取名单
拟录取名单,主要是用来看招生人数、最终分数分布情况、比如初试最高分、初试最低分、初试平均分、分数分布区间、单科分数情况。
③郑州大学报录比
录取人数为0的专业:理论经济学、儿少卫生与妇幼保健学、麻醉学
报录比超高的专业:建筑学报录比为86.5,报考人数173人,最终录取2人。
报录比相对较高的专业:教育学原理26.5、高等教育学25.33、护理学21.5、车辆工程16.5、机械电子工程13.9、应用心理学13.89、比较教育学13.75、计算机科学与技术13.72、护理学12.62、发展与教育心理学12.5、金融12.43
④郑州大学壁纸
通过查看报录比我们可以看到郑大的理工科相对好考一点,整体来说郑州大学相对热门211院校还是相对比较好考的学校~
二、东华大学
东华大学的纺织工程是全国第一的,所以这类专业的考研难度是相当大的。但是除此之外的大部分专业考研的难度都不大。
①东华大学优势学科
②东华大学拟录取名单
③东华大学历年报录比
篇幅有限,我就列举2020年的报录数据~
有同学问东华大学保护一志愿吗?东华大学还是保护一志愿,优先校内调剂,校内不满再校外。
三、西南大学
①优势学科
1、世界一流学科建设学科:生物学2、国家重点学科:课程与教学论、基础心理学、特种经济动物饲养3、国家重点(培育)学科:生态学、果树学4、省部级重点学科:哲学、应用经济学、政治学、社会学、马克思主义理论、教育学、心理学、中国语言文学、外国语言文学、中国史、数学、物理学、化学、地理学、生物学、生态学、计算机科学与技术、农业工程、环境科学与工程、食品科学与工程、作物学、园艺学、农业资源与环境、植物保护、畜牧学、水产、工商管理、农林经济管理、音乐与舞蹈学、美术学、设计学、法学、体育学、新闻传播学、统计学、兽医学、中药学
③西南大学20报录比数据
④西南大学壁纸
西南大学除了国民经济学、区域经济学、金融、法律、教育学、心理学、文学等专业报录比超过10外,其他专业报录比相对还比较低,比如应用化学报录比为3、环境工程6.89、机械0.45。具体考哪个专业可以从你考研目的、考研职业、自身综合评估,选择适合自己的专业。
四、南昌大学
①优势学科
国家“双一流”建设学科:材料科学与工程(新材料技术学科群)
国家重点学科:食品科学、材料物理与化学
国家重点(培育)学科:材料加工工程
江西省高水平重点学科:物理学、机械工程、化学工程与技术、临床医学(内科学)、临床医学(外科学)
一级学科博士学位授权点:化学、生物学、力学、机械工程、材料科学与工程、环境科学与工程、食品科学与工程、基础医学、临床医学、管理科学与工程、哲学、马克思主义理论、中国语言文学、新闻传播学、药学
②拟录取名单
2019年-2021年最近3年拟录取名单~通过查看近3年拟录取名单分数变化情况:初试最低分、初试最高分、初试平均分,可以从侧面衡量一下专业的难度。
③招生人数\录取人数情况
注意招生人数不是报考人数,而是计划招生的人数~
④南昌大学壁纸
、
考研如果想考南昌大学,从好考的角度来说,那么最好避开南昌大学的优势学科以及目前的一些热门专业比如法律非法学等专业,具体衡量可以参照一下学校的招生人数、拟录取名单分数情况综合评估。虽然是比较好考的一个211院校,但在怎么好考,也是A区的211院校, 要考的话,需要努力哦~
五、辽宁大学
①优势学科
世界一流学科建设学科:应用经济学(自定)
国家重点学科(3个):金融学、国民经济学、世界经济学
辽宁省一流学科建设学科A类(6个):理论经济学、应用经济学、法学、工商管理、马克思主义理论、统计学
②拟录取名单
③辽宁大学壁纸
辽宁大学是一所综合性211院校,它的经济类、法学、文科都很不错。院校也非常保护
一志愿不歧视三本,凭实力说话。
六、东北林业大学
①优势学科
②拟录取名单
③东北林业大学报录比
从近几年的录取情况来看,东北林业大学对于双非考生来说非常的友好,不歧视二本、同等学力。且它的录取分数线跟其他211相比低好多,大部分专业过了国家线就有机会上岸~ 双非考211的良心学校~
7、合肥工业大学
8、海南大学
9、河北工业大学
河北省唯一一所国家“211工程”学校
10、太原理工大学
山西省唯一一所国家“211工程”重点建设大学
11、长安大学
12、延边大学
13、宁夏大学
14、新疆大学
15、云南大学
16、北京工业大学
17、陕西师范大学
排名不分先后~~~~~
篇幅有限,今天就列举17所学校一部分院校情况,后续会一个学校一个学校的公布。
想考211院校的同学,在备考前期一定要多搜集院校信息,多了解,比如可以搜集院校地区、招生人数、招生专业以及报录比情况。在这里整理了这17所院校情况,主要是拟录取名单、报录数据,有要准备考211院校的同学,可以私信我,拿院校报录比数据,通过数据看看自己要不要考211。这17所院校虽然相对好考,但在怎么好考也是211,难度还是在那儿的,根据自己情况,实际衡量。









