2017上海高考各大学录取分数线(上海2018年高考投档线汇总及数据分析)
一、上海市普通高等学校秋季招生本科各批次录取控制分数线
2018年上海市普通高等学校秋季招生本科各批次录取控制分数线
(注:本市高考本科成绩满分为660分)
2017年上海市普通高等学校秋季招生本科各批次录取控制分数线:
批次 分数(3+3科目)
本科录取控制分数线 402
自主招生控制分数线 501
(注:上海市高考本科成绩满分为660分)
2016年前上海市实行的是3+1科目,满分为600分,因此没有可比性,但是从2017年和2018年的控制线来看,基本上是没有变化的,非常稳定。我觉得这样的控制线,如果在招生名额也不变的情况下,对考生来说,填报志愿应该是相对容易一些的。
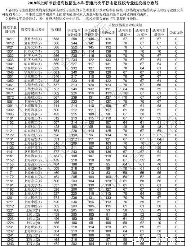
二、2018年上海院校最低投档线
三、2017年上海院校最低投档线
注:每个高校对应的后面括号里的数字就是对应的专业组,专业组的意思是针对小三门不同的选科要求来设定的,比如:复旦大学(1)是选科要求为物理或化学;复旦大学(2)则是不限选科科目的。
四、数据分析
1、热门院校:投档线排在前100的有来自上海的有11个高校的18个专业组,11个高校分别是:复旦大学、上海交大、交大医学、同济大学、复旦医学、上海财大、华东师大、上海外大、华东政法、华东理工、东华大学。
2、投档分数
从以上的表格,我们可以清楚地看到,虽然17年和18年的本科控制线是持平的,但是他们的投档线却基本上是呈现普涨的格局,其中复旦医学、交大医学和健康医学等院校的涨幅都在10分以上。
3、招生计划
本土倾向性明显:上海院校在上海本土的招生计划可以说占很大的比重,其中计划数过百的有同济大学、上海交通大学、上海财经大学、华东师范大学、上海外国语大学、华东政法大学、华东理工大学等。看到这样的招生计划,我想可能其他省份的考生是不是已经哭倒在厕所了呢?实在是有点不公平。









