同济大学研究生分数线(同济大学研究生到底有多难考)
一、院校简介
同济大学(Tongji University),简称“同济”,是中华人民共和国教育部直属 ,由教育部、国家海洋局和上海市共建的全国重点大学,是历史悠久、享有盛誉的中国著名高等学府,是国家“双一流” “211工程” “985工程”重点建设高校,也是收生标准最严格的中国大学之一;入选“2011计划” “珠峰计划” “卓越工程师计划” 卓越法律人才教育培养计划 卓越医生教育培养计划 “111计划” 中美“10+10”计划入选高校;是环境与可持续发展合作联盟、国际设计艺术院校联盟、21世纪学术联盟、卓越大学联盟、中俄工科大学联盟、中欧工程教育平台、同济—伯克利工程联盟成员,为中管副部级院校。
二、双一流学科
三、学科评估结果排名(第四轮)
四、2021年复试分数线
其中,生源充足的学院在达到复试基本分数要求的情况下,可根据本学科、专业特点向上调整本单位复试分数线。
五、2020年报录比
六、热门专业分析
1、新闻与传播
(1)学院概况
同济大学传播与艺术学院的学科设置主要基于新媒体艺术创作与技术、新闻传播理论与实务,包括新型传播与社会研究、广告创意与创新研究、电子传媒与新闻研究、新兴科技与出版研究、视觉文化研究、计算机动画与视觉特效研究、交互媒体研究、数字影音研究、非平面影像研究等多个研究领域。
学院拥有新闻传播学、艺术学两个一级学科硕士点,以及艺术硕士专业学位点,设有广告学、动画、广播电视编导、广播电视新闻、摄影等5个系和本科专业,从2010年开始已经取消摄影专业。现有教职工59人,专职教师43人。其中,教授8名、副教授10名、硕士生导师22(含电影学院和音乐系)。
(2)报录比
2020年
其中,新闻传播学接收了推免5人,新闻与传播接收推免1人。
2019年
对比来看,由此可以看到新闻传播学学硕呈现扩招趋势,报录比基本稳定在10:1~27:1,但新传的专硕名额较少,目前并不建议报考专硕,对于同济新传考研的考生来说,竞争较大,无异于过独木桥。
(3)招生目录
(4)学制、奖助学金
学制:
硕士研究生学制一般为2.5年,最长学习年限为4年,具体参照入学当年培养方案执行。
奖助学金:
(5)参考书目
➤ 基础书目:
❶编写组:新闻学概论(马克思主义理论研究和建设重点教材),高等教育出版社、人民出版社, 2009年版
❷ 郭庆光著:传播学教程(第2版)中国人民大学出版社,2011年版
❸ [美]维曼、多米尼克著(金兼斌译 ).大众媒介研究导论(第7版)清华大学出版社,2005年版;
❹ 李良荣:《新闻学概论(第7版)》复旦大学出版社,2021版。
PS:总的来说,同济新传考研的书目相对基础,但还是建议小伙伴们多多拓展,有利于开放性的真题论述和考研复试,同时也要注意导师近期的研究热点哦。
➤ 附加书目:
❶ 陈力丹《解析中国传播学》
陈力丹《新闻学十讲》
❷ 刘海龙《大众传播理论:范式与流派》
➤ 拓展书目:
❶ 李良荣《新闻学概论》
❷ 陈阳《大众传播学研究方法导论》
❸ 彭兰《网络传播概论》
❹ 黄鹂《整合营销传播》
❺ 黄瑚《中国新闻事业发展史》
❻ 张允若《外国新闻事业史》
❼ 刘海贵《中国新闻采访与写作》
❽丁法章《当代新闻评论教程》
……
2、计算机
(1)电子与信息工程学院
注:
408计算机学科专业基础综合:数据结构、计算机网络、计算机组成、操作系统
参考书目:1.《数据结构》严蔚敏;2.《计算机网络》谢希仁;3.《计算机组成原理》唐朔飞(或者白中英);4.《操作系统》汤子瀛。
复试:
1. 复试内容包括外语能力综合(满分 50 分,含外语听力与口语、专业外语两部分,各 25分)、专业课(满分 50 分,专业课内容见招生目录)和专业综合(满分 150 分),合计 250分,所有内容均采用面试方式进行。
2. 招生目录中的复试内容:
计算机科学与技术:综合能力测试
电子信息03.人工智能与自动化工程方向:微机原理与应用、信号与系统任选一门
电子信息04.计算机与智能技术方向:综合能力测试
(2)软件学院
注:
408计算机学科专业基础综合:数据结构、计算机网络、计算机组成、操作系统
参考书目:
1.《数据结构》严蔚敏
2.《计算机网络》谢希仁
3.《计算机组成原理》唐朔飞(或者白中英)
4.《操作系统》汤子瀛
复试:
复试内容:专业和综合素质(150 分),外语能力综合(口语、听力50分、专业外语50分),科学研究计划书50分,软件工程学科专业基础50分。
(3)工程硕士管理中心
注:
408计算机学科专业基础综合:数据结构、计算机网络、计算机组成、操作系统
参考书目:
1.《数据结构》严蔚敏
2.《计算机网络》谢希仁
3.《计算机组成原理》唐朔飞(或者白中英)
4.《操作系统》汤子瀛
复试:
复试内容:满分500分,包括思想品德;综合考核,包括专业课(满分为70分)、外语能力综合(满分为80分)、专业和综合素质(满分为350分,含本科成绩及科研业绩、专业基础能力、培养潜力、分析和语言能力、其它素质和能力)。
3、土木水利
(1)复试分数线
(2)2020年招生名额
(3)历年报录比
(4)初复试考试科目
初复试科目
考试大纲
同济自2018年起,便取消了大纲。
参考书目
· 朱慈勉《结构力学》第三版
· 宋子康《材料力学》(已绝版,可在小鹿学姐淘宝店购买,印刷清晰)
(5)2020复试信息
复试内容与形式
专业综合:面试形式进行,专业课必答题 + 专业综合面试追问,时长 20 分钟。
外语能力综合:与专业综合面试交替进行,时长 7 分钟。
录取原则
初复试分数占比为2:1,即初试满分500,复试满分250。总分为初试与复试分数相加,然后排名,最后确定录取名单。
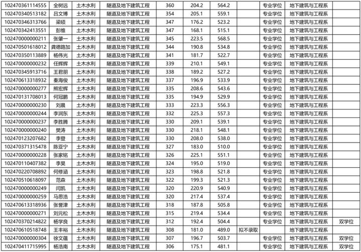
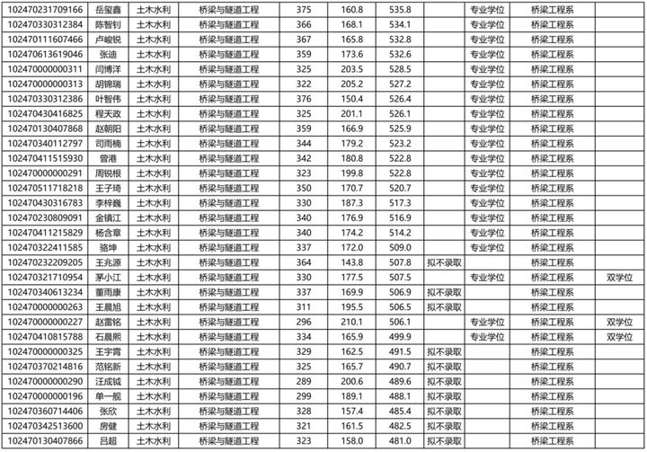
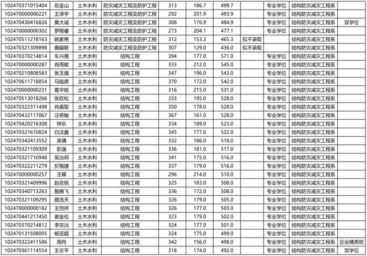
(6)2020年拟录取名单
(7)报考难度点评
总的来看,难度较大,难度在于同济的专业课。但招生名额非常多,只要将专业课啃透,同济并不是遥不可及。
4、金融专硕
(1)考试科目
①101思想政治理论 ②201英语一
③396经济类联考综合能力 ④431金融学
(2)参考书目录
米什金《货币金融学》;陈伟忠《金融经济学》
说明:指定米什金《货币金融学》为机械工业出版社出版,但是从应试效果来看,推荐使用人大出版社出版的教材。
(3)2019-2021录取人数与复试分数线
(4)备考建议
一提到金融考研专业的院校,大家第一时间想到的就是清华、北大、复旦、上财,人大等院校。同济大学作为重点985的工科强校,学校名气够大,就业质量很好。报考同济大学金融专业的同学也甚是多啊。
同济大学的金融专硕由经济与管理学院和数学科学学院联合招生,培养与管理由挂靠在经济与管理学院的金融硕士项目负责中心负责。所招收的均为非全日制研究生,且为定向就业的培养形式。也就是说,应届毕业生不能报考哦!!!
5、教育学
教育学所在的职业技术学院,成立于1994年10月,定位于从事职教师资培养、培训和职业教育研究。
(1)招生目录
全日制
非全日制
(2)总结
院校推荐报考指数:★★★★★(五星级)
同济大学作为百年名校,在国内一直享有盛誉,单只看同济大学的综合实力和学校知名度,无疑是非常值得报考的一所大学。同济大学专业课采用统考试卷,同专业各方向复试内容相同,降低了些许考试难度。但是作为“985”自主划线高校,又坐落在繁华的上海市,学校的吸引力实在太强,报录比、复试线一直居高不下,而招生人数又少,同学们谨慎报考。
上岸难度指数:★★★★★(五星级)
同济大学统招人数很少,考试风险大,上岸难度高。
同济大学21教育学学硕因为压分大量需要调剂,专硕教育管理因为是非全,竞争性并十分巨大。
6、管理科学与工程
同济大学的管理科学与工程目前是开设在经济与管理学院,下面是其最新的招生专业目录:
值得注意的是同济大学的管科是需要考数学一的。
2020年其管理学专业的基本复试分数线为350分;
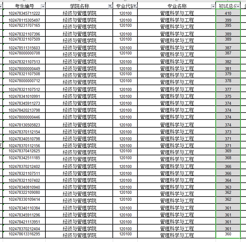
下面是2020年同济大学管理科学与工程的统考拟录取名单。统考一共拟录取58人,均为一志愿录取;录取考生初试成绩最低分354,最高分420,平均分383。
今年这个专业一共是653报考,算下来统考报录比在11:1左右。
下面是2019年其管理科学与工程的统考拟录取名单。其中经济与管理学院实际录取了26人。这26人中,初试成绩最低分375,最高分431,平均分395。
19年该专业的报考人数是566人,算下来统考报录比17:1左右。
下面是18年经济与管理学院管理科学与工程的统考拟录取名单。统考一共拟录取33人,录取考生初试成绩最低分360,最高分410,平均分375。
18年该专业的统考报考人数是427人,算下来统考报录比在13:1左右。
实际上2020年同济大学的管理科学与工程是扩招了的,前几年这个专业统考录取都仅有30人左右,不过作为学硕专业,统考能录取30人左右,已经算是招生比较多了。至于录取分数方面,19年最高,达到了390+,但实际上如果2020年不扩招的话,平均分估计也在390+。
整体上难度较大,主要是报考热度太高,竞争压力大,加上录取分数很高,建议基础较好的小伙伴尝试报考。









