陕西人眼里的西北大学(考研择校)
学校简介:
关键词:211、双一流
(首批“双一流”建设高校共计137所,其中世界一流大学建设高校42所(A类36所,B类6所),世界一流学科建设高校95所;双一流建设学科共计465个(其中自定学科44个)
坐标:陕西省会西安,太白、桃园、长安三个校区
学科实力:
西北大学各院系、所2021年硕士研究生招生专业一览
西大第四轮学科评估结果如下
西北大学有两个学科被分为A类,B类学科也上了两位数,算是西部211院校比较可以的了。
学科进入ESl全球前1%的学科有地球科学、材料科学、化学、工程学、临床医学、药理学与毒理学。
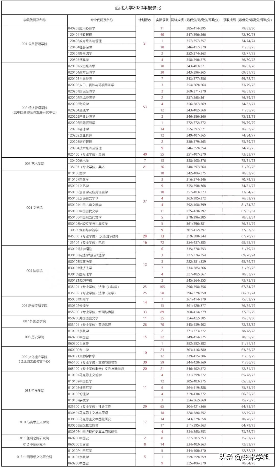
报录比:
2020年上
2020下
其他:
西北大学的科研经费相比于其他211学校较少,有最~穷~211学校的外号。
奖助学金
(一)研究生国家奖学金
研究生国家奖学金用于奖励学业成绩优秀、科学研究成果显著的全日制在校研究生。博士研究生奖励标准为每人每年30000元,硕士研究生奖励标准为每人每年20000元。国家奖学金奖励名额及经费由陕西省教育厅下达,评选标准按照学校研究生国家奖学金管理办法相关规定执行。
(二)研究生学业奖学金
研究生学业奖学金主要用于奖励优秀研究生支持其更好地完成学业,覆盖我校全日制非在职研究生。评选办法按照学校学业奖学金管理办法相关规定执行。
(三)研究生社会奖助学金
研究生社会奖助学金由社会组织或个人在我校设立。评选办法和奖励标准按照学校相关文件执行。
(四)研究生助学金
研究生助学金用于补助研究生基本生活支出,覆盖我校全日制非在职研究生(有固定工资收入的除外)。博士研究生资助标准为每生每年20000元(分别为国家助学金10000元,学校助学金10000元),硕士研究生资助标准为每生每年6000元。在正常学制内每年按照10个月发放。管理办法按照学校研究生助学金管理办法相关规定执行。
(五)研究生“三助”岗位津贴
学校设立研究生“三助”岗位,用于资助研究生从事“助研、助教、助管”工作,鼓励广大研究生积极投身科研和管理实践,具体按照学校研究生助研工作管理研究生“助教”“助管”岗位管理办法相关规定执行。
(六)研究生助学贷款和特殊困难补助
研究生助学贷款工作按照国家相关规定执行。
学校设立研究生特殊困难补助金,用于补助家庭经济特别困难,研究生生活有困难或者研究生本人发生突发重病等情况。对于研究生一般困难补助给予500-1500元,个人发生重大疾病、家庭重大变故等情况,给予困难补助标准为2000-5000元,特殊情况下给予困难补助10000元。研究生特殊困难补助由研究生院(部)视实际情况发放。鼓励各培养单位和导师对经济困难学生予以资助。
关于考研任何问题,欢迎问我。
↓可以找我领资料哦↓
免责申明:本站所发布的文字与图片素材为非商业目的改编或整理,版权归原作者所有,如侵权或涉及违法,请联系我们删除,如需转载请保留原文地址。









