东南大学研究生招生信息网(2020年考研院校篇)
用数据分析考研,为你揭开考研复试的神秘面纱!欢迎来到窝窝牛考研分析室!
“大学之道,在明明德,在亲民,在止于至善。”
东南大学的校训告诉我们“做事情的最高原则,即最高的善”,而其中的“善”也是我正在做的事情,我希望通过我自己的努力能给现在正在考研路上的你(不管是准备参加复试还是正准备考研的人)提供我能提供的小小帮助,能帮你们少走弯路,在你们得到帮助后能在评论区告诉我、关注我,并把你们的得到的帮助分享出去,我就感觉到真的很幸福了!所以,开始我们今天的考研分析之旅吧!
东南大学
我们先来看一下2019年东南大学的复试基本分数线
2019年东南大学各院系所复试分数线(学术学位)
2019年东南大学各院系所复试分数线(学术学位)
2019年东南大学各院系所复试分数线(专业学位)
我们再结合2019年的考录比的情况分析一下
东南大学2019年的考录比
东南大学2019考录比
2019年东南大学考录比
从上面的图中我们看到2019年考研总共17253人报名参加东南大学的考研,最后录取了5129人,其中包括推免的1708人,还剩下3421名额供统考生考取。总的考录比平均为1:3.36,而统考生的考录比为1:5.043。可以看出2019年考研对于考取东南大学的各专业的研究生难度还是有的。
再看一看2018年东南大学考研的数据
2018年东南大学各院系所复试分数线
2018年东南大学各院系所复试分数线
2018年东南大学各院系所复试分数线
同样再结合2018年的考录比的情况分析一下
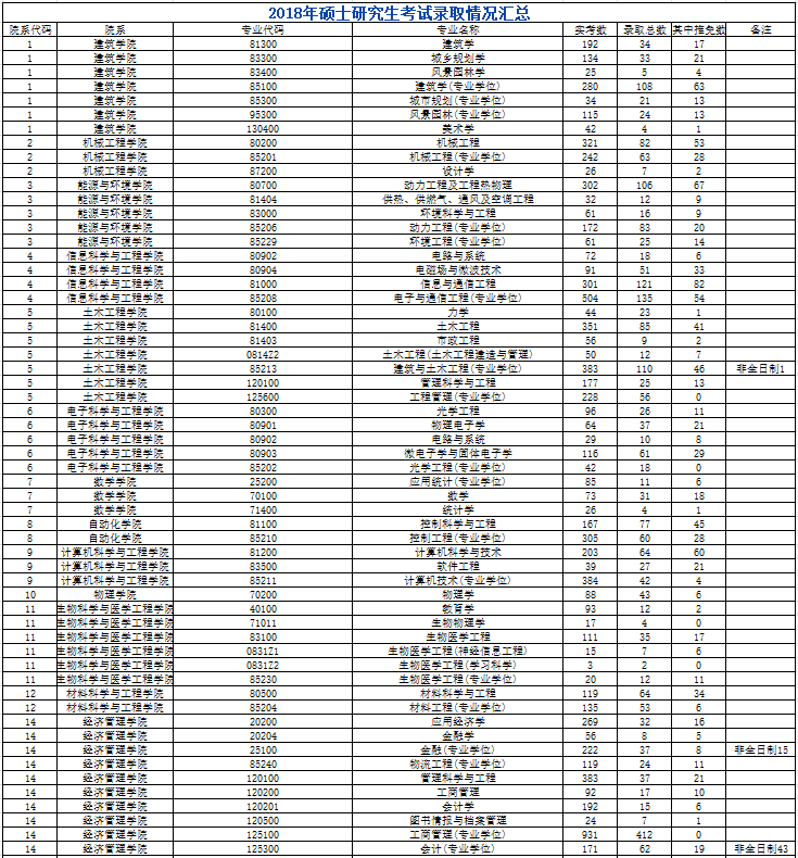
2018年硕士研究生考试录取情况汇总
2018年硕士研究生考试录取情况汇总
2018年硕士研究生考试录取情况汇总
从上面的图中我们看到2018年考研总共15607人报名参加东南大学的考研,最后录取了4882人,其中包括推免的1691人,还剩下3191名额供统考生考取。总的考录比平均为1:3.19,而统考生的考录比为1:4.89。
结合2019、2018两年的数据可以分析出以下结论:
(1)报考东南大学人数每年都在递增,所以2020年还会增加。
(2)平均考录比在1:3.3左右。(预计今年将达到1:3.5左右)没4个人报名只有一个被录取(概率上来讲)。
(3)推免生的人数一直都在1700左右,今年大概也会在这个基础上加200人左右。
(4)统考生今年要想考取东南大学各专业学更加努力!
所以,报考东南大学的同学可以根据上面分析的数据结合自身情况来做决定!
最后祝各位考生都能考上自己心仪的大学!
有什么考研上的问题都可以在下方留言,我会一一为你们解答!喜欢我的可以关注我哈!谢谢
想看哪个大学的分析可以在下方留言我会尽快帮你分析。
想要报考院校资料的同学可以私信我,我会把资料发送到你的邮箱!
文章表格编写不易,转载请注明出处!谢谢










