同济大学研究生(同济大学考研报录比21年全国统考各专业数据)

麦兜兜
麦兜兜 2024-06-23 18:06:02

导读:本文数据来源于同济官网,整理出来,便于大家备考。

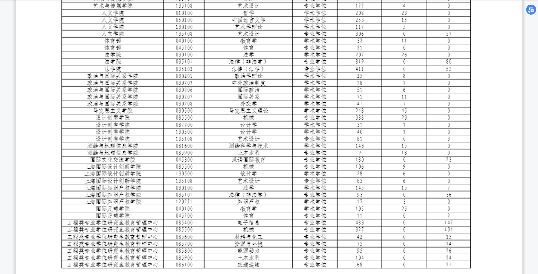
同济大学考研报录比21年全国统考各专业数据,报名人数、全日制录取人数、非全日制录取人数

同济大学考研报录比21年全国统考各专业数据,报名人数、录取人数

同济大学考研报录比21年全国统考各专业数据,报名人数、录取人数

同济大学考研报录比21年全国统考各专业数据,报名人数、录取人数

同济大学考研报录比21年全国统考各专业数据,报名人数、录取人数

同济大学考研报录比21年全国统考各专业数据,报名人数、录取人数

同济大学考研报录比21年全国统考各专业数据,报名人数、录取人数